SMA 432: PARTIAL DIFFERENTIAL EQUATIONS I NOTES

Institution Kenyatta University
Course MATHEMATICS
Year 1st Year
Semester Unknown
Posted By Rose Oloo
File Type pdf
Pages 35 Pages
File Size 9.52 MB
Views 5232
Downloads 1
Price: Buy Now whatsapp Buy via whatsapp
  • whatsapp
  • facebook
  • twitter

Description

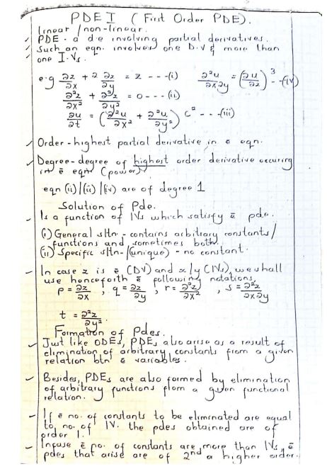
Get a copy of the SMA 432: PARTIAL DIFFERENTIAL EQUATIONS I lecture notes, handwritten and very elaborate and sequential as per course outline. This is a great resource for your revision and exam preparation.
Below is the document preview.

No preview available
Bembea ya maisha Dondoo na majibu Trending!
Maswali kumi na sita (16) ya Bembea maisha Dondoo na majibu. Download Bembea ya Maisha questions and answers.
18 Pages 9960 Views 11 Downloads 579.42 KB
KCU 100: HISTORY AND DEVELOPMENT OF EAST AFRICA AGRICULTURE Trending!
The word “Agriculture” is derived from two Latin words, Ager – meaning land or field; & Cultura – meaning cultivation. Therefore, the term agriculture means cultivation of land. Thus, agriculture or farming is generally understood to mean the production of crop plants through cultivating the soil and the rearing of livestock.
74 Pages 4708 Views 0 Downloads 1.08 MB
AEN 202: PHONOLOGY OF ENGLISH Trending!
The way you speak tells more about you than the way you dress. And of course changing one’s clothes is easier than altering your enunciation. But it is possible, with some effort, to train yourself to speak a language in a way that is not too divergent from the way native speaker do. This module is meant to help you to that end learning the English language.
139 Pages 4983 Views 0 Downloads 2.11 MB
AGD 402: Gender Planning, Policy Formulation and Implementation Trending!
Institution: Kenyatta University Year: 2018/2019 Semester: 4th Year, 1st Semester (4.1)
CHEMOTHERAPY Trending!
These notes provide an extensive overview of cancer, designed for easy understanding by students and individuals seeking knowledge about this complex disease. The content covers a wide range of topics, including: Definition of Cancer: Explanation of what cancer is and how it develops in the body. Types of Cancer: Detailed descriptions of various types of cancer, including common forms such as breast, lung, prostate, and colorectal cancer. Causes and Risk Factors: Insight into the genetic, environmental, and lifestyle factors that contribute to cancer development. Symptoms and Diagnosis: Information on common signs and symptoms of cancer, along with diagnostic procedures such as imaging tests and biopsies. Treatment Options: Overview of treatment modalities, including surgery, chemotherapy, radiation therapy, and emerging therapies like immunotherapy and targeted therapy. Prevention and Screening: Guidelines on cancer prevention strategies and the importance of regular screenings. Living with Cancer: Tips and resources for patients and caregivers on coping with cancer diagnosis and treatment. These notes aim to provide a clear and concise understanding of cancer, making it accessible for everyone interested in learning about this critical health issue.
5329 Views 0 Downloads 4.19 MB
CANCER
Involves identifying the presence of cancer through various methods such as imaging tests (CT scans, MRIs), biopsies, and blood tests. Early detection is crucial for effective treatment and improved outcomes. Staging: Refers to determining the extent of cancer in the body, which is essential for treatment planning. Common staging systems include the TNM system, which assesses Tumor size (T), lymph Node involvement (N), and Metastasis (M). Staging helps classify cancer into stages (I-IV), indicating severity and prognosis. Goals: The primary goals of cancer treatment include curing the disease, controlling its growth, and alleviating symptoms. Treatment plans are tailored based on the type and stage of cancer, patient health, and personal preferences. Ongoing monitoring and adjustments to treatment may be necessary based on response and side effects.
722 Views 0 Downloads 921.77 KB
CANCER
Common side effects of cancer treatments, such as chemotherapy and radiation. Can significantly impact quality of life and treatment adherence. Causes: Direct effects of treatment on the gastrointestinal system. Psychological factors and anticipatory nausea related to previous treatment experiences. Management: Anti-nausea medications (antiemetics) are commonly used. Lifestyle modifications, such as dietary changes and relaxation techniques, can help alleviate symptoms.
752 Views 0 Downloads 360 KB
ALT 403: MODERN EUROPEAN LITERATURE Trending!
In this course, we shall read and analyse selected plays, poems, novels and short stories from Europe. Although one of the tests of great literature is its universality, all fictional works have local flavour. Modern European literature is literature that has a European flavour.
125 Pages 4598 Views 0 Downloads 1.57 MB
SMA 433: PARTIAL DIFFERENTIAL EQUATIONS II Trending!
The aim of this monograph is to present a clear and well organized treatment of the concept behind the development of mathematics. Many practical problems have been illustrated displaying a wide variety of solution techniques.
69 Pages 4404 Views 0 Downloads 597.4 KB
Literature
It's a novel for university studies and general reading at large reflecting on the happenings in our societies today
217 Pages 1279 Views 1 Downloads 1.61 MB