OPERATING SYSTEMS

Institution UNIVERSITY
Course COMPUTING AND INFORM...
Year 1st Year
Semester Unknown
Posted By Liz Ochola
File Type pdf
Pages 34 Pages
File Size 1.02 MB
Views 300
Downloads 0
Price: Buy Now whatsapp Buy via whatsapp
  • whatsapp
  • facebook
  • twitter

Description

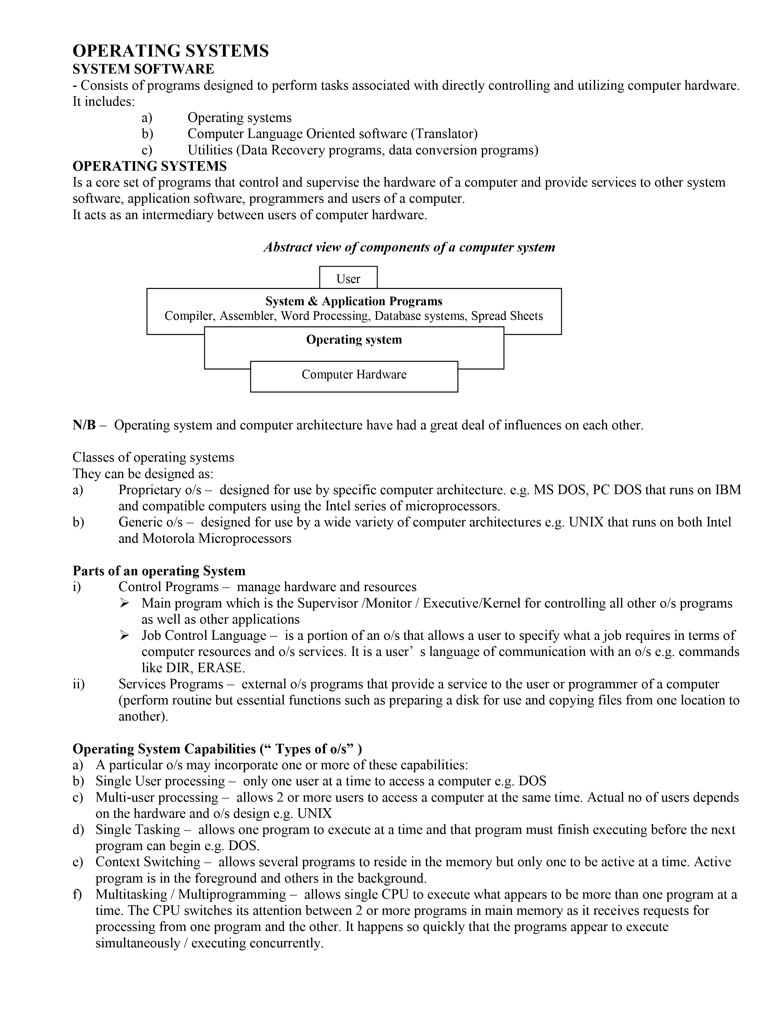
Is a core set of programs that control and supervise the hardware of a computer and provide services to other system software, application software, programmers and users of a computer. It acts as an intermediary between users of computer hardware.
Below is the document preview.

No preview available
Operating systems
An operating system is a set of programes that is used to manage the basic hardware resources of a computer
No pages found 810 Views 1 Downloads 1.24 MB
Operating Systems
An operating system is a software that manages the computer hardware. The hardware must provide appropriate mechanisms to ensure the correct operation of the computer system and to prevent user programs from interfering with the proper operation of the system.
159 Pages 1147 Views 0 Downloads 1.18 MB
OPERATING SYSTEMS NOTES Trending!
A computer system has many resources (hardware and software), which may be require to complete a task. The commonly required resources are input/output devices, memory, file storage space, CPU etc. The operating system acts as a manager of the above resources and allocates them to specific programs and users as necessary for their task.
43 Pages 6137 Views 0 Downloads 1.38 MB
Introduction to Operating Systems Trending!
An Operating System (OS) is a crucial software layer that serves as the interface between computer hardware and users or application programs. It manages and coordinates hardware resources such as the CPU, memory, storage, and input/output devices, ensuring efficient and effective utilization.
9 Pages 4247 Views 0 Downloads 260.19 KB
Operating Systems Design and Implementation Trending!
Systems Design refers to the process of defining the architecture, components, modules, interfaces, and data for a system to meet specified requirements. It is the blueprint for how the system will operate and interact with other systems or users. This phase follows the analysis phase in the systems development life cycle (SDLC). Systems Implementation is the phase where the designed system is developed, tested, and deployed. It involves translating the plans into an operational system that meets user needs. Implementation often includes installation, configuration, training, and ongoing support.
1106 Pages 3434 Views 0 Downloads 21.97 MB
SCO 231: OPERATING SYSTEMSPAST PAPER Trending!
Institution: Year: 2023/2024 Semester: 2nd Year, 2nd Semester (2.2)
SCO 231: OPERATING SYSTEMS PAST PAPER Trending!
Institution: Year: 2023/2024 Semester: 2nd Year, 2nd Semester (2.2)